搜索
❯
2025年2月22日1分钟阅读
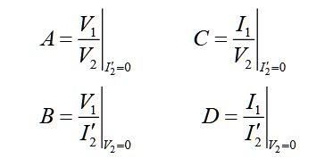
Warning 以上仅为二端口网络下的定义。
Warning
以上仅为二端口网络下的定义。
ABCD 参数的优势在于,在分析级联网络的时候,ABCD 参数矩阵能够直接相乘,而其他网络参数不具备这样的特性。